药物滥用检测试剂注册审查指导原则(2023年修订版)
Official Full Text
药物滥用检测试剂注册审查指导原则(2023年修订版)
国家药品监督管理局医疗器械技术审评中心2024年第4号通告
Source: https://www.cmde.org.cn/directory/web/cmde/images/1705561894268099926.docx
附件3
药物滥用检测试剂注册审查指导原则
(2023年修订版)
本指导原则旨在为医疗器械注册申请人进行应用胶体金免疫层析法的药物滥用定性检测试剂的注册申报提供技术指导,同时也为医疗器械监督管理部门对注册申报资料的审评提供技术参考。
本指导原则是对该类试剂注册申报资料的一般要求,申请人应依据产品的具体特性确定其中内容是否适用,若不适用,需具体阐述理由及相应的科学依据,并依据产品的具体特性对注册申报资料的内容进行充实和细化。如注册申请人认为有必要增加本指导原则不包含的研究内容,可自行补充。
本指导原则是供注册申请人和技术审评人员使用的指导性文件,但不包括注册审批所涉及的行政事项,亦不作为法规强制执行,如果有能够满足相关法规要求的其他方法,也可以采用,但需要提供详细的研究资料和验证资料。需在遵循相关法规和强制性标准的前提下使用本指导原则。
本指导原则是在现行法规、标准体系以及当前认知水平下制定的,随着法规、标准的不断完善和科学技术的不断发展,本指导原则相关内容也将适时进行调整。
一、适用范围
本指导原则适用于以胶体金免疫层析法对药物滥用进行定性检测的医疗用途的试剂,基于其他检测技术,如基于免疫技术的半定量药物滥用检测试剂可参照本指导原则,但应根据产品的具体特性确定其中内容是否适用,如不适用,应另行选择适用自身方法学特性的研究步骤及方法。本指导原则适用于进行首次注册申报和注册变更申报的产品。
二、注册审查要点
(一)监管信息
1.产品名称及分类编码
产品名称应符合《体外诊断试剂注册与备案管理办法》及相关法规的要求,如吗啡唾液检测试剂盒(胶体金免疫层析法)。根据《体外诊断试剂分类子目录》,与麻醉药品、精神药品、医疗用毒性药品检测相关的试剂管理类别为第三类,分类编码为6840。
2.其他信息
还包括产品列表、关联文件、申报前与监管机构的联系情况和沟通记录以及符合性声明等文件。
(二)综述资料
综述资料主要包括概述、产品描述、预期用途、申报产品上市历史及其他需说明的内容。其中,产品描述中应详述检测原理、产品主要研究结果的总结和评价、与同类和/或前代产品的比较等。与同类和/或前代产品的比较,应着重从方法学、检验原理、产品主要性能等方面详细说明申报产品与目前市场上已获批同类产品之间的主要区别。
综述资料应符合《体外诊断试剂注册与备案管理办法》和《关于公布体外诊断试剂注册申报资料要求和批准证明文件格式的公告》要求。
(三)非临床资料
1.产品技术要求及检验报告
1.1产品技术要求
注册申请人应当在原材料质量和生产工艺稳定的前提下,根据产品研制、前期评价等结果,依据国家标准、行业标准及有关文献资料,结合产品特性按照《医疗器械产品技术要求编写指导原则》的要求编写。应至少包括对产品阳性符合率、阴性符合率、重复性(应在最低检出浓度进行)、检出限等项目的要求。还应将主要原材料及生产工艺要求等内容作为附录附于技术要求正文后。
产品技术要求附录中,主要原材料要求应包括描述检测线、质控线包被及金标记的抗原抗体的生产来源信息;单克隆抗体或多克隆抗体的免疫原及生物学来源等信息;硝酸纤维素膜的厚度、孔径大小、爬膜速度及蛋白结合能力等信息。如为自制原材料应描述制备纯化具体方法、质量要求;如为外购原材料应描述外购方名称及产品具体规格、质量要求。工艺要求应主要包括描述金标物制备、检测线和质控线制备等各步骤过程方法、环境温湿度要求、质控标准、包被浓度要求等。
如有适用的国家标准、行业标准,产品技术要求的相关要求应不低于相应的要求。
1.2产品检验报告
对于首次注册产品,注册申请人拟定产品技术要求后,应对三个不同批次产品进行检验。对于已经有国家参考品的检测项目,在检测时应采用相应的国家参考品进行,对于目前尚无国家参考品的项目,生产企业应建立自己的质控体系并提供相应的内部参考品。
2.分析性能研究
注册申请人应采用在符合质量管理体系的环境下生产的试剂盒进行所有分析性能研究,提交具体研究目的、试验设计、研究方法、可接受标准、试验数据、统计方法、试验结论等详细资料。有关分析性能验证的背景信息也应在申报资料中有所体现,包括试验地点(实验室)、试剂规格、批号、样本来源等。分析性能研究试验方法可参考《定性检测体外诊断试剂分析性能评估注册审查指导原则》、美国临床实验室标准化协会批准指南(CLSI-EP)文件等国内外有关体外诊断产品性能评估的指导文件进行。如申报产品包含不同的包装规格(如,条型、板型、检测杯型等),需要对各包装规格进行分析或验证。对于不同的样本类型应分别提交相应的分析性能评估资料。
对于药物滥用检测试剂,建议重点对以下分析性能进行研究:
2.1样本稳定性
某些药物在样本放置过程中有代谢或消减过程,因此应进行样本保存稳定性的研究,说明被测药物在样本中的稳定性。注册申请人应充分考虑实际使用过程中样本采集、运输及保存等各个阶段的条件,对不同类型样本的稳定性分别进行评价并提交研究资料。内容包括建议的保存条件、存放时长和运输条件(如涉及)等。
2.2适用的样本类型
申报检测试剂样本类型建议为尿液、唾液等,应能辅助临床医师对近期患者药物使用情况进行判断,且仅用于药物滥用的初筛。每种适用样本类型应分别进行分析性能评估。
2.3准确度
准确度评价方法包括使用参考品的检测、方法学比对,企业可根据实际情况选择合理方法进行研究。
2.3.1参考品的检测
参考品应为由具有公认量值的标准品或参考品配置而得的样本,且样本基质与临床样本具有一致性,并包括检出限附近的浓度样本、药物主要代谢产物(如适用)及其结构类似物(如适用)。
2.3.2方法学比对
方法学比对分为与已上市同类试剂的比对和与参考方法的比对。
选择已上市的同类试剂与被考核试剂进行方法学比对,所选同类试剂检出限应低于或等于被考核试剂检出限,通过比对说明被考核试剂与已上市试剂之间的一致性程度。研究应包含一定数量的阴性和阳性样本,并注意包含被考核试剂检出限附近样本和具有明显交叉反应性样本。
参考方法的比对,包括液相色谱-质谱法(LC-MS)、气相色谱-质谱法(GC-MS)、高效液相色谱法(HPLC)等,应根据待测化合物特性选择适宜的参考方法。研究应使用有统计学意义数量的样本,应以阳性样本为主,并包括部分阴性样本,低浓度样本应涵盖检出限、检出限上下约50%浓度,对于临床较难获得的低值样本,可采用阴性基质对高值样本进行稀释的方式获得,并对稀释样本进行说明。样本还应包含已知具有明显交叉反应性的所有药物或代谢物。如吗啡检测试剂,除了对吗啡样本进行对比试验外,还应考虑对主要代谢产物为吗啡的原型药物、相关的代谢产物(如O6-单乙酰吗啡以及福尔可定、二氢可待因等)进行参考方法的比对。应重点对这些化合物检出限附近浓度进行考察。
2.4精密度
应对精密度指标,如标准差或变异系数等的评价标准做出合理要求。精密度研究应采用临床样本,对于确实难以获取临床样本的被测物,在阐述合理原因的同时,可使用标准物质添加到阴性基质中进行研究。
研究应考虑运行、时间、操作者、仪器(如适用)、试剂批次和地点等影响精密度的条件,设计合理的精密度试验方案进行评价。设定合理的精密度评价周期,例如:为期至少20天的检测,具体方案可参考性能评价相关文件进行。
用于精密度评价的临床样本应至少包含3个水平:阴性样本、检出限水平样本、(中或强)阳性样本,并根据产品特性设定适当的精密度要求:
2.4.1阴性样本:待测物为零浓度,阴性符合率应为100%(n≥20)。
2.4.2检出限水平样本:检出限水平样本阳性符合率应≥95%(n≥20)。
2.4.3中/强阳性样本:待测物浓度呈中度到强阳性,阳性检出率为100%且CV≤15%(n≥20),或条带结果显色均一。
2.5检出限
2.5.1检出限的确定
目前,部分药物滥用的定性检测试剂可参考我国相关技术指南及美国物质滥用和精神健康服务管理局(Substance Abuse and Mental Health Services Administration,SAMHSA)确定的检出限,如可卡因、阿片、苯环利定等,对于无相关推荐检出限的检测试剂,注册申请人可根据相关药物具体代谢情况自行确定合理的检出限。如产品被测物包括药物主要代谢产物及其结构类似物,则需同时对其进行检出限的确定。
2.5.2检出限的验证
注册申报产品应至少在检出限减去25%的浓度、检出限和检出限加上25%的浓度上对具有统计学意义数量的临床样本进行分析验证,对于确实难以获取临床样本的被测物,在阐述合理原因的同时,可通过向已知不含药样本中加入目标药物的方法进行样本制备。样本浓度可通过气相色谱-质谱法(GC-MS)或其他适用的等效分析方法确定。如有需要则可适当扩大浓度范围,如加入低于和高于检出限50%、75%或100%的浓度水平继续进行相应试验。
采用免疫层析胶体金方法试剂的结果判读,尤其是接近检出限浓度样本的结果判读,受操作人员的视力和判读能力以及试剂的生产批次的影响。因此,检出限研究建议由多名操作人员(至少三人)使用多个批次的产品(至少三批)进行试验。针对研究参加人员将样本进行随机化分配,并对样本编号进行掩蔽,以避免出现结果判读上的偏离。
2.6特异性研究
2.6.1交叉反应验证
建议针对同类药物中的所有药物/化合物和药物代谢物,或可能发生交叉反应的结构类似物进行交叉反应验证。
可使用向不含药样本中添加药物化合物的方法制备特异性研究用样本,浓度水平应与人体内最高预期水平相当。如果某化合物检测结果为阳性,则逐级对该化合物样本进行稀释,直至获得阴性结果。
能够获得标准品的主要代谢产物及结构类似物应考察其灵敏度,如某些已知主要代谢产物标准品不可得,可对适量临床样本采用气相色谱-质谱(GC-MS)方法通过质谱图推断其结构,证明其在样本中的存在。
2.6.2干扰物质
潜在的干扰物质主要包括:体内吸收及代谢的常用药物或物质,内源性物质或生理条件变化,评价这些物质及生理条件是否会对检测结果造成影响。(常用药物干扰应包括常用处方及非处方药物,如心血管治疗药物、降糖药物、抗病毒药物、抗生素和解热镇痛药物等)
应使用医学相关水平的干扰物浓度进行验证。另外,亦建议注册申请人针对每种干扰物质的潜在最大浓度(“最差条件”)进行评价。对于常见药物干扰试验,建议参照相应药物药代动力学研究确定的治疗药物浓度及多次给药后峰浓度水平添加相应药物制备干扰样本进行干扰验证。内源性物质(如尿中内源性干扰物)的干扰应选择相应高值干扰物进行试验。
建议在检出限附近水平对每种干扰物质的阳性和阴性干扰影响进行评价。分别向两组临床样本中加入相关浓度的各种药物/化合物及内源性物质:一组为已知会得到阳性结果的最低浓度目标药物(评估阴性干扰影响);另一组为已知会得到阴性结果的最高浓度目标药物(评估阳性干扰影响)。如果观察发现预期结果出现变化,建议对干扰物进行逐级稀释,直至不发生干扰影响。
评价生理条件变化对检测的影响,可对上述两组浓度的样本进行调整,以反映体内可能存在的各种生理条件变化。如可将尿液检测样本的pH值范围修改为3~9,观察不同pH条件下检测结果与预期结果是否存在变化。鉴于本类试剂结果判读依赖显色肉眼观察,建议对光致变色物质的影响进行评价,包括血红蛋白、肌红蛋白及其他人工或天然形成的食用色素、药物等;唾液检测应分别对可能对产品性能产生影响的内源性物质(粘蛋白、溶菌酶、分泌型IgA等)、外源性物质(唾液分泌刺激剂、抗生素、解热镇痛药、维生素、饮料、牙膏、漱口水等)的影响进行考察。
2.7反应体系
2.7.1反应条件确定:注册申请人应考虑反应时间、判读时间、反应温度等条件对产品性能的影响,通过试验确定上述条件的最佳组合。
2.7.2反应体系中样品加样方式及加样量确定:通过试验确定最佳的加样方式及加样量。
3.稳定性研究
稳定性研究资料主要包括实时稳定性(有效期)、开封稳定性以及运输稳定性等研究,注册申请人可根据实际需要选择合理的稳定性研究方案。稳定性研究资料应包括研究方法的确定依据、具体的实施方案、详细的研究数据以及结论。对于实时稳定性研究,应提供至少三批样本在实际储存条件下保存至成品有效期后的研究资料。
4.阳性判断值研究
药物滥用检测试剂阴性/阳性等结果判断的阳性判断值(cut-off,CO)可使用试剂本身的检出限,如产品被测物包括药物主要代谢产物及其结构类似物,还应对代谢产物及结构类似物的最低检出浓度水平进行研究。
应采用所有类型的临床样本进行阳性判断值的验证,并提交样本来源及阴阳性确定依据、验证试验方案、统计学分析和研究数据等。
5.其他资料
5.1主要原材料研究资料
免疫层析胶体金方法的药物滥用检测试剂一般采用竞争法原理,应提供主要原材料如检测线上包被的抗原结合物、金标单克隆抗体以及企业参考品等的选择与来源、制备过程、质量标准等的相关研究资料。如主要原材料为企业自制,应提供其详细制备过程;如主要原材料源于外购,应提供的资料包括:选择该原材料的依据及对比筛选试验资料、供货商提供的质量标准、出厂检定报告,以及该原料到货后的质量检验资料,供应商应固定,不得随意更换。注册申请人应对各主要原材料均明确质量控制标准。
5.1.1抗原或抗体
用于胶体金标记、包被硝酸纤维素膜及用于制备检测线、质控线的抗原或抗体等,如抗原结合物、金标单克隆抗体等,应提交抗原/抗体来源、制备、筛选、鉴定及质量标准(外观、蛋白浓度、纯度、分子量、效价、功能性试验等)等详细试验资料。
5.1.2其他
除上述原材料外,产品中包含的其他原材料,如胶体金、硝酸纤维素膜、玻璃纤维素膜等,均应进行选择及验证,并提交相关资料。明确供应商和质量控制标准。
5.1.3企业参考品
产品的企业参考品一般包括阳性参考品、阴性参考品、检出限参考品和重复性参考品。应根据产品性能验证的实际需要设置企业参考品。
应提交企业参考品的原料来源、选择、制备、阴阳性及浓度确认方法或试剂等相关验证资料。使用已知标准物质制备企业参考品时,基质应采用与临床样本相似的基质并说明基质的具体配制过程,如唾液样本基质,需明确人工唾液的制备方法。应当注意所采用标准物质的成分,如为盐酸盐、硫酸盐等。应当在配制参考品过程中计算参考品所含碱基的绝对浓度,以相应化合物单纯碱基的浓度作为参考浓度。企业参考品的设置建议如下:
5.1.3.1阳性参考品
企业阳性参考品设置应包括正常阳性样本、主要代谢产物及结构类似物样本(如适用)。
5.1.3.2阴性参考品
企业阴性参考品设置除应包括正常阴性样本外,还应包括其他易引起干扰的结构类似物、常见滥用药物等含药样本。
5.1.3.3检出限参考品
可设置系列稀释样本,其中应包含检出限水平。
5.1.3.4重复性参考品
建议包括高、低两个浓度的样本,其中一个浓度应为检出限附近的浓度。
5.2生产工艺研究资料
5.2.1产品基本反应原理介绍。
5.2.2主要生产工艺介绍,可用流程图方式表示,并简要说明主要生产工艺的确定依据。
5.2.3固相载体、显色系统的介绍及筛选,最适反应条件的研究。
5.2.4包被/标记工艺研究,注册申请人应考虑如包被/标记液量、浓度、时间、条件等指标对产品性能的影响,通过试验确定上述指标的最佳组合。
(四)临床评价资料
列入《免于临床试验体外诊断试剂目录》的药物滥用检测试剂,可通过与境内同类已上市产品的方法学比对进行临床评价,评价方法可参照《免于临床试验的体外诊断试剂临床评价技术指导原则》相关内容,其中阴性样本还应考虑与其他药物滥用的交叉反应样本及服用常见药物的潜在干扰样本。对于包含多种包装规格(如,条型、板型、检测杯型等)的产品,因不同包装规格存在反应体系的差异,临床评价应含盖产品所有包装规格,并进行汇总统计分析,同时对不同包装规格进行分层统计。
鉴于与境内同类已上市产品的方法学比对所能提供的性能信息较为有限,且抗体对待检药物/化合物的反应性不同,以及考虑到交叉反应等因素。同时,还应选择检测范围内一定数量(60例,如被考核试剂无境内同类已上市产品,则应扩大样本数量)样本,在具备中国合格评定国家认可委员会(CNAS)认可的实验室,与参考方法(如液相色谱-质谱法、气相色谱-质谱法、高效液相色谱法等)进行比对试验。
与参考方法的比对应以阳性样本为主,并包括部分阴性样本,低浓度样本应涵盖检出限、检出限上下约50%浓度,对于临床较难获得的低值样本,可采用阴性基质对高值样本进行稀释的方式获得,但应对稀释样本进行说明。
应对参考方法的方法选择及方法学考察结果进行详细描述。如气相色谱-质谱法(GC-MS)应详细介绍样本的衍生化方法、色谱条件、质谱条件、检测离子并提供典型色谱图与质谱图,并说明对确定的检测条件进行方法学考察的具体结果,如方法专属性、灵敏度、线性、精密度、回收率等。
由于某些药物在样本中存在分解或反应过程,因此为保证对比试验结果的准确,应尽量同步进行参考方法和被考核试剂的检测,避免两种检测方法之间样本的长时间放置。
针对目前尚无同类产品上市的新型毒品检测试剂及适用于新样本类型的毒品检测试剂,应通过临床试验路径进行临床评价。临床试验应符合《体外诊断试剂注册与备案管理办法》《医疗器械临床试验质量管理规范》和《体外诊断试剂临床试验技术指导原则》的要求,如相关法规、文件有更新,临床试验应符合更新后的要求。下面仅说明该类产品临床试验中应关注的重点问题。
1.临床试验机构
应选择具备相应条件且按照规定备案的医疗器械临床试验机构开展临床试验。由于该产品具有特殊使用目的,可以在已经备案的专科医院、戒毒中心等相关诊疗机构开展临床研究,临床试验机构数量应不少于3家,且具专业优势,实验操作人员应有足够的时间熟悉检测系统的各环节,熟悉评价方案。在整个试验中,试验体外诊断试剂和对比方法/试剂均应处于有效的质量控制下,最大限度保证试验数据的准确性及可重复性。
2.临床试验方法
2.1新型毒品检测试剂临床试验方法
申请人可采用试验体外诊断试剂与相应参考方法(如气相色谱-质谱法、高效液相色谱法等)进行临床比对,考察试验体外诊断试剂与临床参考方法检测结果的一致性。针对临床参考方法应明确其阳性判断值确定方法并提供相关依据。
临床试验资料中各家机构使用的临床参考方法应一致。应对临床参考方法进行详细的介绍,并提交性能验证数据,证明临床参考方法与试验体外诊断试剂的可比性。如临床参考方法委托其他机构完成,还应提交由临床试验机构委托第三方机构/实验室开展相关试验的服务合同/协议,提交相关机构资质(实验室应具备中国合格评定国家认可委员会即CNAS资质等)和选择依据。
2.2 适用于新样本类型的毒品检测试剂
该类产品临床试验可选择与相应参考方法(如气相色谱-质谱法、高效液相色谱法等)进行临床比对,试验体外诊断试剂与临床参考方法检测的应为同一份样本。具体要求详见2.1。
此外,针对已有其他已经公认的样本类型上市的产品,临床试验还应选择部分病例采用已上市的产品与试验体外诊断试剂进行公认样本类型与新样本类型的比对研究。
3.临床试验受试人群的选择
临床试验的受试人群应来自产品的预期适用人群,该产品的适用人群为药物滥用人群,除有针对性选择目标人群外,还应选择其他药物滥用的交叉反应病例、服用常见药物的潜在干扰病例。所有临床样本来源应可追溯,此外临床试验应纳入部分弱阳性样本。
4.临床试验样本类型
该类产品可能涉及的样本类型包括尿液、唾液等。临床样本的采集建议按照相关实验室检测技术方案执行。
临床研究人员应注意某些药物在临床样本中的含量会随时间的推移而逐渐减少,在设计方案及试验操作步骤上,应尽可能地缩短在考核试剂与对比试剂/参考方法间的样本放置时间,避免由此带来的试验结果偏差。
5.临床试验样本量
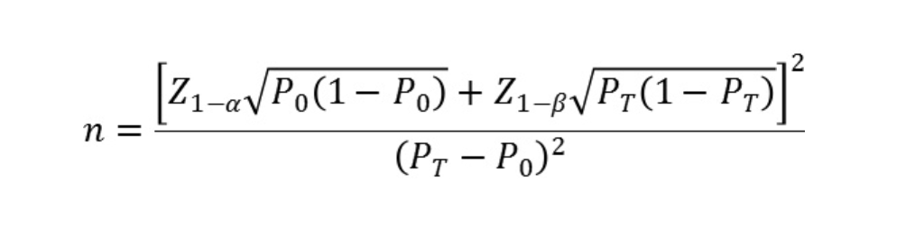
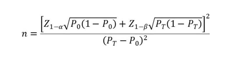
临床试验阳性样本和阴性样本数量应分别满足统计学要求。针对与临床参考方法的对比试验,可采用目标值法公式分别估算最低阳性和阴性样本例数。
样本量估算公式如下,



公式中,n为样本量;Z1-α、Z1-β为显著性水平和把握度的标准正态分布的分数位,P0为评价指标的临床可接受标准,PT为试验体外诊断试剂评价指标预期值。
其中阳性符合率和阴性符合率的临床可接受标准(P0)建议不低于95%。临床试验结果中,相关评价指标的95%置信区间下限应不低于预设的临床可接受标准。当评价指标P接近100%时,上述样本量估算方法可能不适用,应考虑选择更加适宜的方法进行样本量估算和统计学分析,如精确概率法等。
针对适用于新样本类型的毒品检测试剂与适用于公认的样本类型的毒品检测试剂进行同源比对试验,亦应入组一定数量的阳性及阴性病例,可采用抽样精度的公式进行样本量估算。
6.临床试验结果的统计分析
临床试验结果一般以四格表的形式进行总结,并据此计算试验体外诊断试剂的灵敏度和特异度,或与对比方法的阳性/阴性符合率及其95%置信区间。
临床试验报告中应对入组受试者的基本情况进行分析,包括受试者年龄、性别的分布情况,以及临床诊断背景等。特别应针对用于特异性评价的各类受试者进行归类汇总,确认入组样本具有较好的代表性。临床试验中如涉及不同样本类型,应针对每种样本类型分别进行统计分析。
临床试验中所有不一致结果均应结合病例的药物滥用史、药物使用情况临等信息进行充分的分析。临床试验结果应能够证明产品临床性能满足临床要求。
7.境外临床试验数据的认可
境外临床试验数据应符合《接受医疗器械境外临床试验数据技术指导原则》和《使用体外诊断试剂境外临床试验数据的注册审查指导原则》的相关要求。提交完整的临床试验方案、报告和伦理审查意见,以及该数据适用于中国患者人群的论证资料、境内外临床试验质量管理差异的对比资料和临床试验质量管理差异对于临床试验结果影响的论证资料。
注册申请人应根据上述临床试验技术审评要求,论证境外临床试验数据的充分性。
8.临床证据的形式要求
申请人应按照《体外诊断试剂注册与备案管理办法》《关于公布体外诊断试剂注册申报资料要求和批准证明文件格式的公告》等法规文件要求提交各机构伦理审查意见、临床试验方案、临床试验小结、临床试验报告以及临床试验数据库。
(五)产品说明书和标签样稿
说明书承载了产品预期用途、试验操作方法、检验结果的解释以及相关注意事项等重要信息,是指导使用人员正确操作、针对检验结果给出合理医学解释的重要依据,也是体外诊断试剂注册申报的重要文件之一。药物滥用检测试剂通常用于药物滥用的初筛检测,鉴于其预期用途的特殊性,说明书中对预期用途的准确描述、对样本要求与采集、检验结果的解释、检验方法的局限性、注意事项等内容的解释尤为重要,有助于使用者正确使用试剂,正确解读结果。
产品说明书的所有内容均应与注册申请人提交的注册申报资料中的相关研究结果保持一致,如某些内容引用自参考文献,则应以规范格式对此内容进行标注,并单独列明参考文献的相关信息。结合相关法规要求及药物滥用检测试剂的特性,下面对说明书的重点内容作详细说明。
1.【产品名称】
产品的通用名称按照《体外诊断试剂注册与备案管理办法》中通用名称的命名原则应为:被测物名称+检测试剂盒(方法学)。如:吗啡检测试剂盒(胶体金法);如为多项检测试剂盒,可命名为:被检物名称(分别列出)+联合检测试剂盒(方法学)。如:吗啡、氯胺酮联合检测试剂盒(胶体金法);如为多项检测试剂盒,且包装规格具有不同的组合形式,可命名为:多项毒品检测试剂盒(方法学);如试剂用于唾液样本,可命名为:被检物名称+唾液检测试剂盒(方法学)。如:吗啡唾液检测试剂盒(胶体金法)。
2.【包装规格】
对产品包装规格的描述应包括试剂(不同组合形式)的类型(条型、板型、检测杯型等)以及每包装的数量(人份)。如:“吗啡/氯胺酮检测试剂:板型:40人份/盒;条型:50人份/盒;吗啡/氯胺酮/甲基安非他明检测试剂:板型:40人份/盒;条型:50人份/盒;尿杯型:5人份/盒”。
3.【预期用途】应至少包括以下几部分内容:
3.1对预期用途的具体描述应包括以下内容:该产品用于定性检测,说明适用的样本类型,明确被测物通用名,被测物名称请参照《麻醉药品品种目录》和/或《精神药品品种目录》中药品通用名,且被测物应为药物滥用、药物主要代谢产物及其结构类似物,说明被测物的检出限,并强调用于“被测物”的初筛检测。如:该产品用于定性检测人体尿液中最低检出浓度为50 ng/mL的四氢大麻酚酸,用于四氢大麻酚酸的初筛检测。
3.2简介待测药物的特征,包括分子式、分子结构、其结构类似物、主要代谢途径、药代动力学特征(半衰期)、主要代谢产物及其结构类似物。简介该药物的药理作用,滥用后导致的躯体及精神表现。
3.3被测物检测的确认方法。
预期用途中应描述该试剂仅用于药物滥用的初筛检测,需要进一步确认及评价的样本应采用灵敏度及特异性更高的检测方法进行。如:液相色谱-质谱法(LC-MS)、气相色谱法-质谱法(GC-MS)、高效液相色谱法(HPLC)等。
4.【主要组成成分】
4.1应描述试剂条/板/杯结构组成、检测线、质控线包被及金标记的抗原抗体的生物学来源信息,如抗原结合物、单克隆抗体或多克隆抗体、抗体的动物源性等信息。
4.2应说明试验需要但本试剂盒未提供的主要材料,并提供注册证号/备案号等信息。
5.【储存条件及有效期】
储存条件及有效期包括试剂盒的效期稳定性、开封稳定性、运输稳定性等有关试剂保存的重要信息;如有必要,应注明试剂表面变化或变质时情况的描述及相关警示。
应注意描述胶体金试剂对环境温度及湿度的要求,储存条件等。
6.【样本要求】
应明确样本类型、采集方法及样本采集的注意事项;描述样本应使用的收集容器,保持样本稳定性的储存、运输条件及储存时间;描述避免使用的样本类型;描述样本处理方法:如尿液混浊是否需要离心、过滤等;说明样本采集、储存不当可能造成的影响、样本中可能含有其他物质(应明确)造成的影响。
如用于唾液样本的检测,应详细规定唾液样本的采集方法,包括采样部位、停留时间等。该方法应具有良好的重复性,并能保证采集量的基本恒定。唾液样本应注意提示样本收集前应避免饮水、进食、吸烟、咀嚼口香糖等可能干扰检测样本的行为。
7.【检验方法】
建议描述并以图示形式显示正确的检验操作方法、程序及注意事项,可用图示显示不正确的操作方法等。特别注意应强调操作温度及湿度条件、读取结果的时间。
8.【阳性判断值】
应说明被测物在待测样本类型中可检出的最低检出浓度。依据试剂所能够检测的目标药物/化合物情况对阳性判断值进行科学描述。如产品被测物还包括药物主要代谢产物及其结构类似物,对阳性判断值的描述应概括为能够检出某样本中高于某浓度的药物和/或相当量的药物主要代谢产物/结构类似物。
9.【检验结果的解释】
建议明确该检测试剂在设计用途范围内能够检出的药物(药物原型及其代谢产物、同类药物/结构类似物等)。介绍可能造成药物检测阴性的原因,可说明药物转阴取决于多种因素,包括药物使用频率、服药量、代谢率和身体脂肪含量等。结合药物的药代动力学及药理作用,介绍待测药物在体内可能存在的时间以及可能持续作用的时间,描述样本采集时间点对检测结果的影响,有助于结果的解释和判断。
建议描述并以图示形式显示所有可能出现的检测结果(如阳性、阴性、无效等)及检测结果的解释,包括观察到特定结果之后应当采取的处理方法。如质控线未出现(无效结果)代表的意义、原因分析、应采取的下一步方法、复测与否、复测后结果仍无效所应采取的措施、是否需要使用特异性更高的确认方法等。服用药物之后,可能需要一段时间药物才会在样本中出现,且药物在样本中存在的时间有限,如果样本采集过早或过晚,都可能获得阴性结果。建议说明“如检测结果是阴性,不一定代表未服用药物,可能是数天内没有服用受试药物,或可能服用了药物,但未检出。”应建议何种情况下需要进行重新检测或采用其他方法确认,如怀疑药物滥用时,应当选择另一时间再次检测,或针对其他不同种类药物进行检测。
10.【检验方法的局限性】
10.1强调该试剂只用于初筛使用,检测结果不能作为确认药物滥用的依据。对结果的确认必须使用灵敏度和特异性更高的参考分析方法。
10.2描述该方法可能导致假阳性及假阴性结果的原因。
造成假阴性结果的原因包括:样本中药物浓度低于检测试剂检出限,低浓度样本无法检出;操作不正确或可能影响检测的其他因素,如运输及储存不当使试剂失效等。
造成假阳性结果的原因包括:服用某些常用药物或食用某些食物所致(请举例)。
10.3其他影响产品性能的因素。
11.【产品性能指标】
产品性能指标的描述应与分析性能评估资料一致,注册申请人除了提供分析性能数据的摘要之外,还应对性能评价相应的试验方法(试验设计、地点、人员、操作方法等)进行简要叙述。具体内容包括:
11.1相应国家参考品的符合情况(如适用)。
11.2检出限、检出限浓度附近样本的验证情况。
11.3精密度的研究情况。
11.4特异性研究结果:
交叉反应:应列出所有可能产生交叉反应的药物/化合物及其最低检出浓度,所有经验证无交叉反应性的药物/化合物及其验证的最高浓度。
干扰物质:介绍体内吸收的常用药物或物质、内源性物质或生理条件变化对检测的干扰验证情况。
11.5临床评价结果的总结。
12.【注意事项】
12.1有关试剂准备的注意事项:如保存、运输条件,检测环境要求等。
12.2有关样本准备、储存的注意事项:有关样本可能受到污染导致的错误结果,如尿液中含有漂白剂、明矾以及样本量是否会影响测试结果等。
12.3保证检测结果正确判读的注意事项:如读取结果的时间、光线条件以及在判读时间内颜色深浅对判读结果的影响。
12.4生物安全性警告:接触到的临床样本、试验废弃物、一次性使用物品等材料应当作为潜在传染物进行处理,并且采用符合法规的预防措施。
12.5其他可能影响检测灵敏度和特异性的注意事项。
四、参考文献
[1]国家市场监督管理总局.体外诊断试剂注册与备案管理办法:国家市场监督管理总局令第48号[Z].
[2]国家市场监督管理总局.体外诊断试剂临床试验技术指导原则:国家药品监督管理局通告2021年72号[Z].
[3]国家药品监督管理局.定性检测体外诊断试剂分析性能评估注册审查指导原则:国家药品监督管理局医疗器械技术审评中心通告2022年第36号[Z].
[4]国家药品监督管理局.免于临床试验体外诊断试剂目录:国家药品监督管理局通告2021年第70号[Z]..
[5]国家药品监督管理局.免于临床试验的体外诊断试剂临床评价技术指导原则:国家药品监督管理局通告2021年第74号[Z].
[6]Mandatory Guidelines for Federal Workplace Drug Testing Programs: Federal Register. ,2008[Z].
[7]Premarket Submission and Labeling Recommendations for Drugs of Abuse Screening Tests. Draft Guidance for Industry and FDA Staff[Z].

